Dear Members, While the groundhog may have predicted six more weeks of winter, that means we are already narrowing in on the final two weeks. I want to introduce myself as your 2026 MRTF President. I am Michelle Hancock-Hartzler, a partner at J&D Turf. I bring 17 years of experience in lawn care and irrigation[Read More…]
Found 87 Articles
Tom List, owner of List Lawn Care, is the 2026 MRTF Distinguished Service Award Winner. The MRTF Distinguished Service Award is the highest honor given by the Midwest Regional Turf Foundation. It is awarded to individuals who have given of themselves through the years for the betterment of the Turfgrass Industry. The service by these[Read More…]
2026 Indiana Green Expo Delivers Strong Educational Impact, Industry Engagement, and Measurable Value The 2026 Indiana Green Expo (IGE), held February 9–11 at the Indiana Convention Center, marked another highly successful year for one of the Midwest’s leading educational and networking events for turfgrass, landscape, nursery, and green industry professionals. The Expo drew 1,412 attendees[Read More…]
By: Dr. Doug Richmond, Purdue University I last touched on this subject back in April of 2023 as we were just getting started in our project converting 6.5 acres of the Kampen-Cosler course at Purdue to native prairie. Since then, we’ve learned a few things about how golf course “no-play zones” can be converted into[Read More…]
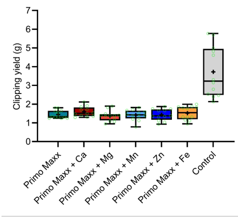
By: Aaron Patton and Naba Amgain, Purdue University Why We Did This Research Golf course superintendents routinely apply the plant growth regulator (PGR) trinexapac-ethyl (Primo® Maxx) to suppress vertical shoot growth, improve playing surface quality, and reduce mowing frequency on putting greens. It is equally common practice to tank-mix Primo Maxx with micronutrient products containing[Read More…]
February 9-11, 2026 Indiana Green Expo; Indiana Convention Center, Indianapolis, IN July 21, 2026 Turf & Landscape Field Day; Daniel Turf Center, W Lafayette, IN August 4, 2026 Lawncare Diagnostic Training; Daniel Turf Center, W Lafayette, IN November 1 – December 18, 2026 (tentative start date…) Herbicide Workshop, ONLINE November 17-18, 2026 Turf & Landscape[Read More…]
As always, the MRTF wants to express our gratitude for the additional support we receive from many of our members each year. So far, in 2026, 52 of our members have opted to upgrade their membership to our Sustaining Membership level. This option is available every year to add to your membership and supports a[Read More…]
Originally published by Purdue HLA Happenings – Issue 26-06 The Purdue turf students competed last week at the Golf Course Superintendents Association of America (GCSAA) Collegiate Quiz Bowl competition at the GCSAA annual meeting in Orlando, FL. This hands-on exam tests the students plant/seed/pest/equipment identification skills, practical turfgrass calculations for related to golf turf management.[Read More…]
The MRTF hosts many educational events throughout the year where you can earn credits that keep your pesticide license, through the OISC, current and active. Beyond that, you can rest assured that you are up-to-date on the latest and greatest information presented by the top researchers in the state. There is an Herbicide Workshop, offered[Read More…]








